70年間測定できなかった磁石の「反転試行時間」を初めて決定
70年間測定できなかった磁石の「反転試行時間」を初めて決定
― 次世代磁気デバイス設計に新指針 ―
発表のポイント
- 約70年にわたり仮定されてきた磁石の「反転試行時間」を、初めて実験的に決定しました。
- 長年1ナノ秒程度の定数と仮定されてきた反転試行時間が、ナノ磁石の形状や材料に依存して変化する設計可能なパラメータであることを示しました。
- 本成果は、ハードディスクや磁気メモリー、確率計算素子などの設計を高精度化し、次世代磁気デバイス開発の基盤となります。
概要
磁石のN極/S極の向きは、エネルギーの「丘」を越えることで切り替わります。この現象はアレニウス則で記述され、ハードディスクや磁気メモリーの設計に用いられています。しかしアレニウス則に含まれる「どれくらいの頻度で丘を越えようと試みているか」を表す「反転試行時間」の実験的な決定は極めて困難で、約70年にわたり1ナノ秒程度と仮定されていました。
今回、東北大学の金井駿准教授、早川佳祐大学院学生(当時)、Mehrdad Elyasi(エリヤシ メフルダード)准教授、Gerrit Bauer(ゲリット バウアー)教授、深見俊輔教授らの研究チームは、温度を変えずにアレニウス則を調べる新しい実験・解析手法を確立し、ナノ磁石の熱ゆらぎを室温で精密に測定しました。その結果、磁石が向きを変えようとする反転試行時間を世界で初めて実験的に決定しました。さらに、用いた試料では磁石内部で生じるスピンの集団的挙動がスイッチング過程に影響し、この反転試行時間が従来の予想よりも10倍以上長いことを明らかにしました。本成果は、磁気メモリーや確率計算素子などの設計を高精度化し、次世代磁気デバイス開発の基盤を提供するものです。
本成果は2026年4月21日付で、材料科学分野の専門誌Communications Materialsに掲載されました。
詳細な説明
研究の背景
方位磁針を強い磁石に近づけると、方位磁針の向きが狂ってしまい、正しく方角を示さなくなることがあります。また、磁石を強く加熱すると、磁石ではなくなってしまうことがあります。このように身の回りにある磁石は、普段は一定のS→Nの向き(磁化の向き)を保っていますが、強い磁場や熱の影響を受けると、その向きを変えることがあります。図1に示すように、この磁化方向が一定に保たれる現象は、磁化の向きとその逆向きの間にエネルギー障壁となる「丘」があるものとして理解されます。
この磁化方向を保つ性質は、ハードディスクなどの磁気ストレージや磁気抵抗ランダムアクセスメモリー(MRAM)などの磁気メモリーにて利用されています。「丘」の高さ(エネルギー障壁)は、磁石の体積に比例します。例えばハードディスクでは、一つ一つのビットの体積に比例するため、記録容量が大きくなるにつれてエネルギー障壁が低くなり、熱によって自然に磁化の向きが変わってしまう(磁化反転)ことが原理的には起こり得ます。これは、記録媒体で自発的に情報が失われてしまうことを意味し、情報ストレージとしては致命的です(図1)。実はこうした熱的な磁化方向の反転試行は、1秒間に10億回程度行われていると予想されてきました(図1①)。そして各試行の成功確率は、高温になった場合や「丘」が低くなった場合に指数関数的に上昇します(図1②)。
熱による磁化反転の平均時間τを定量的に表す理論式はネール・アレニウス則と呼ばれ、
\[τ=τ_0×exp\left(\begin{array}{c}εV\\ k_B T\end{array}\right)\]
と提案されています。この式は、①磁化方向の反転試行がτ0秒に一回であり、②εを磁石の単位体積あたりのエネルギー障壁、Vを磁石の体積、Tを絶対温度、kBをボルツマン定数としたとき、熱的な磁化反転の成功確率がexp(εV/kBT)であると解釈できます。この理論式は、1940年代から現代まで、エネルギー障壁や体積を支配する重要な設計指針として使われてきました。その一方で、τ0が1ナノ秒(=10億分の1秒)程度という予想や、この式自体の正当性は実験的に検証されていません。そのため、磁化反転が試みられる頻度である、「反転試行時間」が実際にはどのくらいの時間なのかという、磁石のゆらぎの根底にある物理は約70年間にわたり明らかになっていませんでした。
今回の取り組み
今回、東北大学の金井駿准教授、早川佳祐大学院学生(当時)、Mehrdad Elyasi准教授、Gerrit Bauer教授、深見俊輔教授らの研究チームは、この反転試行時間τ0を直接測定することに取り組みました。研究チームはまず、ナノ磁石素子を作製し、その形状や大きさを走査電子顕微鏡で精密に確認しました(図2左)。また、この素子の電気抵抗を測定することで、室温で熱的な磁化反転を起こしていることを示すランダムテレグラフノイズを計測しました(図2右)。この二値的なゆらぎは、熱により励起された磁化反転に対応しています。
化学反応などでは通常、この理論式に含まれるτ0はエネルギー障壁と温度の比を変え、その際の平均反転時間τの変化を測定する(「アレニウスプロット」と呼ばれる)ことで求めることができます。ほとんどの場合、温度Tを変えることでこの比を変えますが、磁石の場合、温度を変えると磁石の性質そのものや、それに付随するエネルギー障壁εも同時に変化してしまい、一般的なアレニウスプロットは妥当性を失うため、τ0を独立に調べることが困難でした。
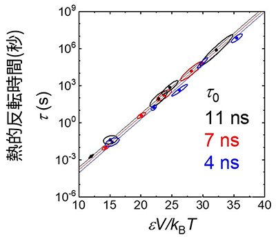
そこで研究チームは、素子体積を変えることでエネルギー障壁のみを系統的に制御できることに着目しました。つまり、温度を変える代わりに素子体積を制御することで磁化反転のしやすさを制御し、エネルギー障壁のみを系統的に変化させる新しい実験手法を考案しました(図3)。この方法を用いることで、温度を変えることなくアレニウスプロットを利用し、長年仮定されてきた反転試行時間τ0を初めて実験的に決定することに成功しました。
解析の結果、磁石が反転を試みる最小時間τ0は約4ナノ秒~11ナノ秒と素子の膜厚により大きく変わること、従来仮定されてきた値よりも10倍以上長いことなどが明らかになりました。なお研究チームはこの理由を考察し、実際の磁石では場所によって様々なS→N方向を持つ「スピン波」が生じ、磁化反転の過程に影響を与えていると考えることで説明できることを示しました。
今後の展開
今回決定された反転試行時間は、ハードディスクや磁気メモリーの安定性の評価で用いられる理論式の精度向上につながります。加えて、反転試行時間は近年室温で擬似量子計算の可能性を実証し、大きな注目を集めている、熱ゆらぎを積極的に利用するスピントロニクス注1)確率計算素子(Pビット:確率ビット)注2)、参考リンク1-8など、次世代情報処理デバイスの動作速度の理論的上限を決める重要なパラメータでもあります。本成果は、磁気デバイス設計の基礎理論をより精密なものとし、将来の高性能・高信頼性磁気デバイスの開発につながることが期待されます。

図1. 磁石のS→Nの向き(磁化の向き)が熱的に反転する様子。
図2. (左)作製したナノ磁性体の走査電子顕微鏡像。(右)磁化の向きに対応して揺らぐ素子電圧。
図3. ナノ磁石のサイズ(体積V)を変えることでエネルギー障壁を制御し、温度一定の条件で得られたアレニウスプロット。磁石が熱的に磁化反転を試みる頻度が1秒間に9000万回~2億5000万回程度であることを明らかにした。
謝辞
本研究の一部は、JST戦略的創造研究推進事業さきがけ(課題番号:JPMJPR21B2)、同CREST(課題番号:JPMJCR19K3)、JSPS科研費(課題番号:JP19H05622, JP19H00645, JP20H02178, JP21K13847, JP22H04965)、文部科学省次世代X-NICS 半導体創生拠点形成事業(体系的番号:JPJ011438)、東北大学新領域創成のための挑戦研究デュオなどの支援を受けて行われたものです。
参考リンク
- 2019年9月19日プレスリリース
室温動作スピントロニクス素子を用いて 量子アニーリングマシンの機能を実現
- 2021年3月18日プレスリリース
スピントロニクス疑似量子ビットを従来比100倍超に高速化 - 2022年8月18日プレスリリース
ナノ磁石の磁気エネルギー地形の測量に成功 - 2022年12月7日プレスリリース
確率動作スピン素子を用いた高性能・省電力「P」コンピューターを実証 - 2023年12月13日プレスリリース
AI処理を高速・超低電力で行う新技術を開発 - 2024年4月5日プレスリリース
製造容易性に優れた確率論的コンピュータを開発 - 2024年12月11日プレスリリース
生成AIをスピントロニクスで省エネに - 2025年12月10日プレスリリース
AI計算を高効率に処理可能な確率論的コンピューターの大規模化に向けて新技術の動作実証に成功
用語解説
- 注1)スピントロニクス
- 物質中の電子が持つ、電気的な性質(電荷)と磁気的な性質(スピン)が協調することによって発現する現象を理解し、工学的な応用を目指す学問分野。特に、磁性体のスピンの向き(上・下)を情報(0,1)の担い手として制御する、磁気抵抗ランダムアクセスメモリー(MRAM)や磁気センサー等への応用が代表的。
- 注2)確率ビット、確率論的コンピューター
- 確率ビット(Pビット)とは、短時間で0と1の信号を確率的に出力し、かつ各ビットを電気的に相関させられる情報処理の基本単位。確率論的コンピューターは確率ビットを用いて演算を行うコンピューター。確率ビットは0と1の重ね合わせ状態を持ち、かつビット間でもつれあい(相関状態)を形成できる量子ビットとは本質的に異なるが一定の類似性があり、確率論的コンピューターは量子コンピューターと並んで新概念コンピューターの一つとして注目されている。1981年にリチャード・ファインマンが行った講演において、量子コンピューターと並んで、確率的な現象を効率的に計算する仕組みとして紹介されている。
論文情報
| タイトル: | Stochastic switching time constant and instability in nanomagnets |
|---|---|
| 著者: | Shun Kanai, Keisuke Hayakawa, Mehrdad Elyasi, Keito Kobayashi, Junta Igarashi, Butsurin Jinnai, William A. Borders, Gerrit E. W. Bauer, Hideo Ohno, and Shunsuke Fukami |
| 掲載誌: | Communications Materials |
| DOI: | 10.1038/s43246-026-01149-2![]() |
問い合わせ先
研究に関すること
東北大学電気通信研究所
准教授 金井 駿(研究者プロフィール)
(兼)東北大学大学院工学研究科電子工学専攻
(兼)東北大学先端スピントロニクス研究開発センター(CSIS)
(兼)東北大学高等研究機構 新領域創成部
(兼)東北大学材料科学高等研究所(WPI-AIMR)
(兼)量子科学技術研究開発機構(QST)
| Tel: | 022-217-5555 |
|---|---|
| E-mail: | skanai@tohoku.ac.jp |
報道に関すること
東北大学電気通信研究所 総務係
| Tel: | 022-217-5420 |
|---|---|
| E-mail: | riec-somu@grp.tohoku.ac.jp |
科学技術振興機構 広報課
| Tel: | 03-5214-8404 |
|---|---|
| E-mail: | jstkoho@jst.go.jp |
JST事業に関すること
科学技術振興機構 戦略研究推進部 グリーンイノベーショングループ
安藤 裕輔
| Tel: | 03-3512-3526 |
|---|---|
| E-mail: | presto@jst.go.jp |



